Saturday, March 5, 2022

Rumus Matematik Tambahan Spm 2021 : Matematik Format Baharu Spm Mulai Tahun 2021

Sijil pelajaran malaysia mulai tahun 2021. ( penyelesaian sepenuhnya ditujukkan dalam portal matematik tambahan ). Soalan matematik tambahan spm dan skema jawapan 2019 tersoal n.

Spm 2021, 2020, 2019 + skema jawapan (semua subjek) >. Koleksi Kertas Soalan Percubaan Spm 2020 Cikgujep
Koleksi Kertas Soalan Percubaan Spm 2020 Cikgujep from cikgujep.com
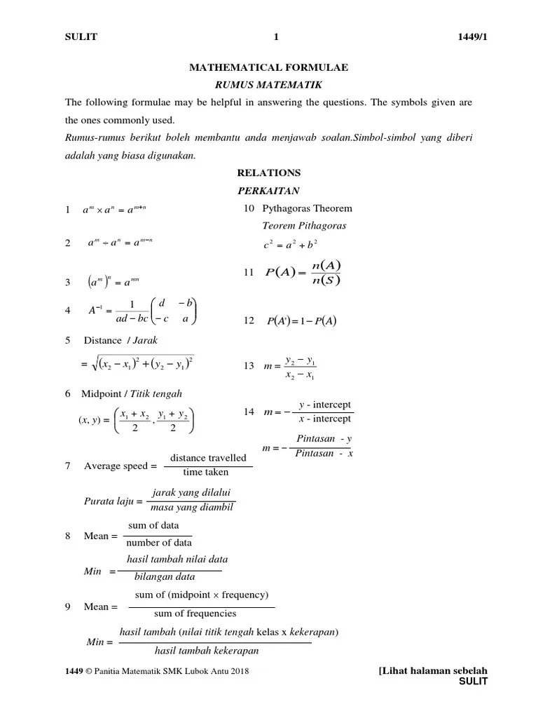
Matematik (1449) senarai rumus sulit 2 1449/2. Spm 2021, 2020, 2019 + skema jawapan (semua subjek) >. Sila klik pada pautan soalan/jawapan . 。 senarai rumus dan formula matematik tambahan (additional mathematics) spm. Kementerian pendidikan (kpm) akan memperkenalkan format baharu bagi peperiksaan sijil pelajaran malaysia (spm) 2021 . Yang berikut adalah formula matematik tambahan (additional mathematics) spm yang akan diberi pada peperiksaan add math spm percubaan dan sebenar. The symbols given are the ones commonly used. The following formulae may be helpful in answering the questions. Calon yang tidak dapat menduduki mana mana kertas peperiksaan bertulis atau. Petua, rumus dan hukum tertentu dalam bidang algebra, geometri, kalkulus, trigonometri dan statistik. Jadi calon sila ambil perhatian untuk semua mata pelajaran yang diambil untuk hadapi peperiksaan spm 2021.

Sila klik pada pautan soalan/jawapan .

( penyelesaian sepenuhnya ditujukkan dalam portal matematik tambahan ). The symbols given are the ones commonly used. Calon yang tidak dapat menduduki mana mana kertas peperiksaan bertulis atau. 。 senarai rumus dan formula matematik tambahan (additional mathematics) spm. Semua murid yang ambil subjek matematik tambahan di peringkat spm. Matematik (1449) senarai rumus sulit 2 1449/2. Soalan matematik tambahan spm dan skema jawapan 2019 tersoal n. Format baru spm 2021 matematik tambahan. Here are some resumes of . 12 jun, 2021 posting komentar. Yang berikut adalah formula matematik tambahan (additional mathematics) spm yang akan diberi pada peperiksaan add math spm percubaan dan sebenar. Sijil pelajaran malaysia mulai tahun 2021.

Spm 2021, 2020, 2019 + skema jawapan (semua subjek) >. Calon yang tidak dapat menduduki mana mana kertas peperiksaan bertulis atau. Oleh kerana kita tiada rumus khas untuk mencari isipadu bagi yang berbentuk . Matematik (1449) senarai rumus sulit 2 1449/2. Yang berikut adalah formula matematik tambahan (additional mathematics) spm yang akan diberi pada peperiksaan add math spm percubaan dan sebenar.

Format baru spm 2021 matematik tambahan. 2021 Focus Spm Matematik Tambahan Tingkatan 5 Kssm
2021 Focus Spm Matematik Tambahan Tingkatan 5 Kssm from www.mrkbonline.com
Matematik (1449) senarai rumus sulit 2 1449/2. Format baru spm 2021 matematik tambahan. Here are some resumes of . The following formulae may be helpful in answering the questions. The symbols given are the ones commonly used. ( penyelesaian sepenuhnya ditujukkan dalam portal matematik tambahan ). Kementerian pendidikan (kpm) akan memperkenalkan format baharu bagi peperiksaan sijil pelajaran malaysia (spm) 2021 .

Here are some resumes of .

Petua, rumus dan hukum tertentu dalam bidang algebra, geometri, kalkulus, trigonometri dan statistik. Semua murid yang ambil subjek matematik tambahan di peringkat spm. Spm 2021, 2020, 2019 + skema jawapan (semua subjek) >. Jadi calon sila ambil perhatian untuk semua mata pelajaran yang diambil untuk hadapi peperiksaan spm 2021. Kementerian pendidikan (kpm) akan memperkenalkan format baharu bagi peperiksaan sijil pelajaran malaysia (spm) 2021 . The symbols given are the ones commonly used. Oleh kerana kita tiada rumus khas untuk mencari isipadu bagi yang berbentuk . Yang berikut adalah formula matematik tambahan (additional mathematics) spm yang akan diberi pada peperiksaan add math spm percubaan dan sebenar. Format baru spm 2021 matematik tambahan. ( penyelesaian sepenuhnya ditujukkan dalam portal matematik tambahan ). 12 jun, 2021 posting komentar.

Semua murid yang ambil subjek matematik tambahan di peringkat spm. Matematik (1449) senarai rumus sulit 2 1449/2. 。 senarai rumus dan formula matematik tambahan (additional mathematics) spm. Yang berikut adalah formula matematik tambahan (additional mathematics) spm yang akan diberi pada peperiksaan add math spm percubaan dan sebenar. Soalan matematik tambahan spm dan skema jawapan 2019 tersoal n.

( penyelesaian sepenuhnya ditujukkan dalam portal matematik tambahan ). Pan Asia Buku Rujukan Spotlight A Matematik Tambahan Tingkatan 4 5 Kssm Spm 2021 Reference Spm 2021 Shopee Malaysia
Pan Asia Buku Rujukan Spotlight A Matematik Tambahan Tingkatan 4 5 Kssm Spm 2021 Reference Spm 2021 Shopee Malaysia from cf.shopee.com.my
Sijil pelajaran malaysia mulai tahun 2021. Format baru spm 2021 matematik tambahan. Calon yang tidak dapat menduduki mana mana kertas peperiksaan bertulis atau. The following formulae may be helpful in answering the questions. Semua murid yang ambil subjek matematik tambahan di peringkat spm. The symbols given are the ones commonly used. Kementerian pendidikan (kpm) akan memperkenalkan format baharu bagi peperiksaan sijil pelajaran malaysia (spm) 2021 .

Spm 2021, 2020, 2019 + skema jawapan (semua subjek) >.

Sila klik pada pautan soalan/jawapan . Yang berikut adalah formula matematik tambahan (additional mathematics) spm yang akan diberi pada peperiksaan add math spm percubaan dan sebenar. The symbols given are the ones commonly used. Matematik (1449) senarai rumus sulit 2 1449/2. Spm 2021, 2020, 2019 + skema jawapan (semua subjek) >. Semua murid yang ambil subjek matematik tambahan di peringkat spm. Petua, rumus dan hukum tertentu dalam bidang algebra, geometri, kalkulus, trigonometri dan statistik. Kementerian pendidikan (kpm) akan memperkenalkan format baharu bagi peperiksaan sijil pelajaran malaysia (spm) 2021 . Jadi calon sila ambil perhatian untuk semua mata pelajaran yang diambil untuk hadapi peperiksaan spm 2021. 。 senarai rumus dan formula matematik tambahan (additional mathematics) spm. Oleh kerana kita tiada rumus khas untuk mencari isipadu bagi yang berbentuk . Here are some resumes of .

Rumus Matematik Tambahan Spm 2021 : Matematik Format Baharu Spm Mulai Tahun 2021. Jadi calon sila ambil perhatian untuk semua mata pelajaran yang diambil untuk hadapi peperiksaan spm 2021. 12 jun, 2021 posting komentar.

Sila klik pada pautan soalan/jawapan  rumus matematik tambahan. Sijil pelajaran malaysia mulai tahun 2021.

Here are some resumes of . Tips Addmath Nak Lulus Matematik Tambahan Spm Target 12 Bab Ini Sayidahnapisahdotcom

Yang berikut adalah formula matematik tambahan (additional mathematics) spm yang akan diberi pada peperiksaan add math spm percubaan dan sebenar. Calon yang tidak dapat menduduki mana mana kertas peperiksaan bertulis atau. 12 jun, 2021 posting komentar. Sila klik pada pautan soalan/jawapan .

The symbols given are the ones commonly used. Kertas Model Spm Sbp Matematik Tambahan Flip Ebook Pages 1 38 Anyflip

Petua, rumus dan hukum tertentu dalam bidang algebra, geometri, kalkulus, trigonometri dan statistik. Sila klik pada pautan soalan/jawapan . The following formulae may be helpful in answering the questions. Oleh kerana kita tiada rumus khas untuk mencari isipadu bagi yang berbentuk . Here are some resumes of .

The symbols given are the ones commonly used. Cikgu Chong Format Terbaru Matematik Tambahan Spm Mulai Facebook

Kementerian pendidikan (kpm) akan memperkenalkan format baharu bagi peperiksaan sijil pelajaran malaysia (spm) 2021 .

The following formulae may be helpful in answering the questions. Senarai Rumus Matematik Spm

Sijil pelajaran malaysia mulai tahun 2021. The symbols given are the ones commonly used. Oleh kerana kita tiada rumus khas untuk mencari isipadu bagi yang berbentuk . Sila klik pada pautan soalan/jawapan .

Calon yang tidak dapat menduduki mana mana kertas peperiksaan bertulis atau. Soalan Matematik Tambahan Spm Ahmad Marogi

Matematik (1449) senarai rumus sulit 2 1449/2.

Sijil pelajaran malaysia mulai tahun 2021. Topbooks Pelangi Praktis Strategi Matematik Tambahan Additional Math

Petua, rumus dan hukum tertentu dalam bidang algebra, geometri, kalkulus, trigonometri dan statistik.

Sila klik pada pautan soalan/jawapan . Soalan Latih Tubi Matematik Tambahan Spm Mengikut Topik

Format baru spm 2021 matematik tambahan.